
від "18" січня 2024 року
Рішення сесії №1980 Про затвердження порядку денного ХLVII сесії Слобожанської селищної ради VІIІ скликання.
Рішення сесії №1981 Про затвердження плану роботи Слобожанської селищної ради на 2024 рік.
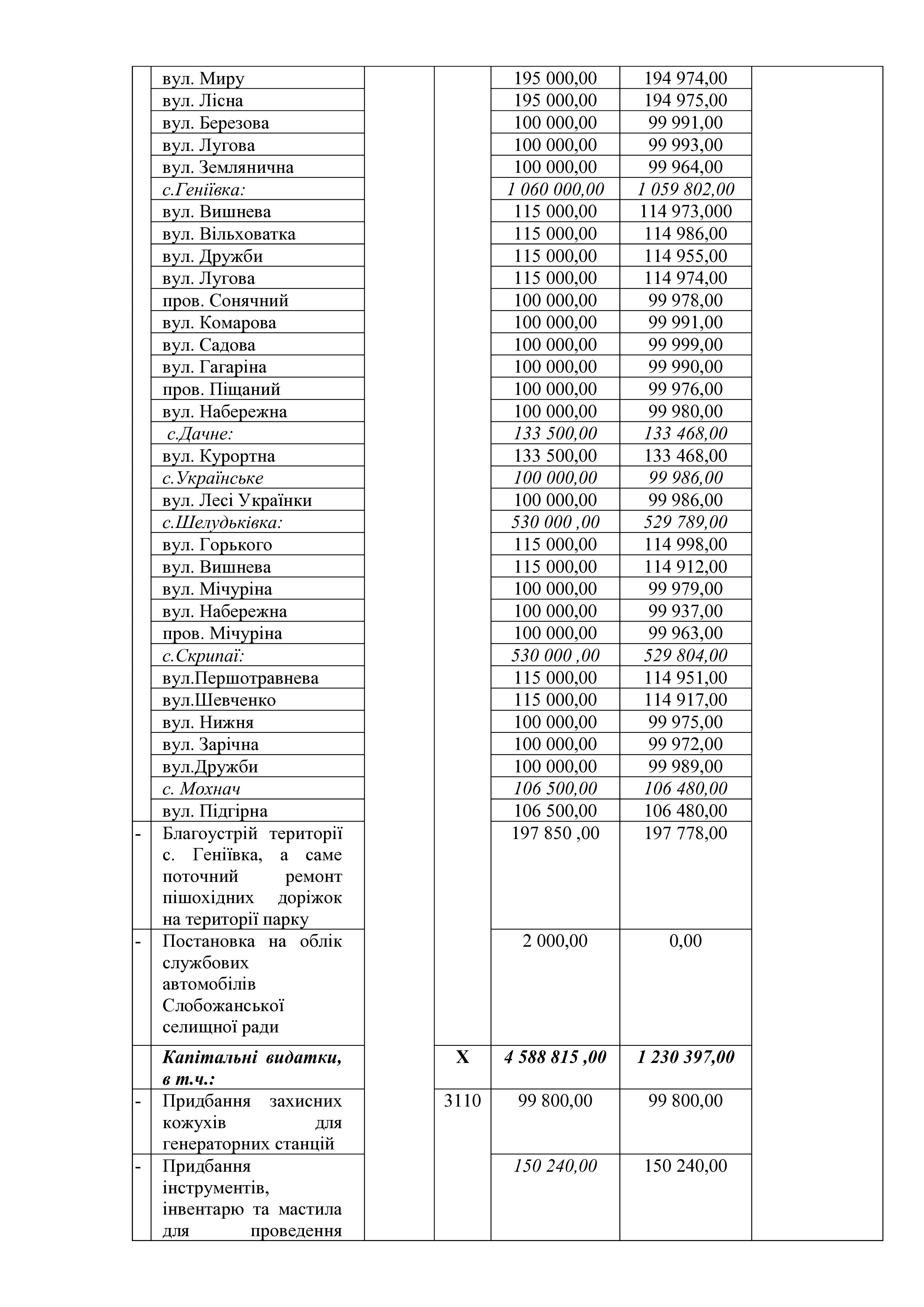
Рішення сесії №1982 Про затвердження звіту «Про виконання бюджету Слобожанської селищної територіальної громади за 2023 рік».
Рішення сесії №1983 Про затвердження звіту про виконання Заходів за 2023 рік до Програми розвитку охорони здоров’я на території Слобожанської селищної ради на 2021 -2025 роки.
Рішення сесії №1984 Про затвердження звіту про виконання Заходів за 2023 рік до Програми оздоровлення та відпочинку дітей Слобожанської селищної ради на 2022-2025 роки.
Рішення сесії №1985 Про затвердження звіту про виконання Заходів за 2023 рік до Програми соціального захисту населення Слобожанської селищної ради на 2021-2025 роки.
Рішення сесії №1986 Про затвердження звіту про виконання заходів на 2023 рік до Програми розвитку місцевого самоврядування Слобожанської селищної ради на 2021-2025 роки.
Рішення сесії №1987 Про затвердження звіту про Заходи до Програми земельних відносин, раціонального використання та охорони земель по Слобожанській селищній раді на 2021-2025 роки.
Рішення сесії №1988 Про затвердження звіту про виконання заходів за 2023 рік до Програми забезпечення тимчасового розміщення та організації харчування внутрішньо переміщених осіб та/або евакуйованих осіб, які перемістилися на територію Слобожанської селищної територіальної громади після 24.02.2022 р., в закладах освіти Слобожанської селищної ради Чугуївського району Харківської області на 2022 – 2023 роки.
Рішення сесії №1989 Про затвердження звіту про виконання заходів за 2023 рік до комплексної Програми розвитку освітянської галузі Слобожанської селищної ради на 2021-2025 роки.
Рішення сесії №1990 Про затвердження звіту про виконання заходів за 2023 рік до Слобожанської селищної програми «Шкільний автобус» на 2021-2025 pоки.
Рішення сесії №1991 Про затвердження звіту про виконання заходів за 2023 рік до комплексної Програми «Молодь Слобожанської громади» на 2021-2025 роки.
Рішення сесії №1992 Про затвердження звіту про виконання заходів за 2023 рік до Програми розвитку фізичної культури та спорту на території Слобожанської селищної ради на 2021-2025 роки.
Рішення сесії №1993 Про затвердження звіту про виконання Заходів на 2023 рік до місцевої цільової Програми розвитку цивільного захисту Слобожанської селищної ради на 2021-2025 роки.
Рішення сесії №1994 Про затвердження звіту про виконання Заходів на 2023 рік до Програми створення та використання місцевого матеріального резерву для запобігання і ліквідації наслідків надзвичайних ситуацій на території Слобожанської селищної ради на 2021-2023 роки.
Рішення сесії №1995 Про затвердження звіту про виконання Заходів на 2023 рік до Програми підтримки підрозділів Збройних Сил України, Міністерства внутрішніх справ України, територіальної оборони, добровольчих та інших військових формувань Слобожанської селищної ради Чугуївського району Харківської області на 2023-2025 роки.
Рішення сесії №1996 Про затвердження звіту про виконання Заходів на 2023 рік до комплексної Програми профілактики правопорушень, злочинності та сприяння діяльності правоохоронних органів на території Слобожанської селищної територіальної громади на 2022-2025 роки.
Рішення сесії №1997 Про затвердження звіту про виконання Заходів на 2023 рік до Програми сприяння проведенню мобілізаційних заходів на території Слобожанської селищної територіальної громади Чугуївського району Харківської області на 2023 рік.
Рішення сесії №1998 Про затвердження звіту про виконання Заходів на 2023 рік до Програми з організації підготовки та проведення призову громадян України, які проживають на території Слобожанської селищної ради, на строкову військову службу у 2021-2023 роках.
Рішення сесії №1999 Про затвердження звіту про виконання Заходів за 2023 рік до Програми енергозбереження та благоустрою територій населених пунктів Слобожанської селищної ради на 2021-2025 роки.
Рішення сесії №2000 Про затвердження звіту про виконання Заходів за 2023 рік до Програми розвитку та реформування житлово-комунального господарства Слобожанської селищної ради на 2021-2025 роки.
Рішення сесії №2001 Про затвердження звіту про виконання Заходів за 2023 рік до Програми природоохоронних заходів Слобожанської селищної ради на 2021-2025 роки.
Рішення сесії №2002 Про затвердження звіту про виконання Заходів за 2023 рік до Програми фінансової підтримки комунальних підприємств Слобожанської селищної ради на 2021-2025 роки.
Рішення сесії №2003 Про затвердження звіту про виконання Заходів за 2023 рік до Програми фінансової підтримки об’єднань співвласників багатоквартирних будинків, житлових товариств та житлово-будівельних кооперативів на 2021-2025 роки.
Рішення сесії №2004 Про затвердження звіту про виконання Заходів за 2023 рік до Програми регулювання чисельності безпритульних тварин гуманними методами на території Слобожанської селищної ради на 2021-2025 роки.
Рішення сесії №2005 Про затвердження звіту про виконання Заходів за 2023 рік до Програми часткового відшкодування витрат громадянам, які відновили пошкоджені внаслідок російської військової агресії вікна у житлових приміщеннях.
Рішення сесії №2006 Про заслуховування звітів про виконання договорів про співробітництво територіальних громад Слобожанської селищної ради та Зміївської міської ради у 2023 році.
Рішення сесії №2007 Про внесення змін до рішення ХLVІ сесії VIІI скликання Слобожанської селищної ради від 21 грудня 2023 року №1935-VIІI «Про бюджет Слобожанської селищної територіальної громади на 2024 рік».
Рішення сесії №2008 Про внесення змін та доповнень до Заходів на 2024 рік до Програми розвитку охорони здоров’я на території Слобожанської селищної ради на 2021 - 2025 роки.
Рішення сесії №2009 Про внесення змін до Заходів на 2024 рік до Програми соціального захисту населення Слобожанської селищної ради на 2021-2025 роки.
Рішення сесії №2010 Про внесення змін та доповнень до Порядку компенсації перевізникам за пільговий проїзд окремих категорій громадян автомобільним транспортом у Слобожанській селищній раді.
Рішення сесії №2011 Про внесення змін до комплексної Програми «Молодь Слобожанської громади» на 2024-2025 роки.
Рішення сесії №2012 Про внесення змін до місцевої цільової Програми розвитку цивільного захисту Слобожанської селищної ради на 2021-2025 роки.
Рішення сесії №2013 Про затвердження заходів на 2024 рік до Програми сприяння проведенню мобілізаційних заходів на території Слобожанської селищної територіальної громади Чугуївського району Харківської області на 2024 рік.
Рішення сесії №2014 Про затвердження Програми соціально-економічного розвитку Слобожанської селищної територіальної громади на 2024-2027 роки.
Рішення сесії №2015 Про затвердження Порядку отримання, обліку, передачі та видачі на території Слобожанської селищної територіальної громади гуманітарної та/або благодійної допомоги, що надається іноземними та вітчизняними донорами із гуманітарних мотивів, в умовах воєнного стану в Україні (нова редакція).
Рішення сесії №2016 Про затвердження штатного розпису комунального підприємства «Донець» з 01 січня 2024 року.
Рішення сесії №2017 Про затвердження штатного розпису комунального підприємства «Комунальник» з 01 січня 2024 року.
Рішення сесії №2018 Про затвердження штатного розпису та штатної чисельності Комунальної установи «Центр надання соціальних послуг» Слобожанської селищної територіальної громади Чугуївського району Харківської області.
Рішення сесії №2019 Про внесення змін до рішення ХVІІ сесії VІІІ скликання Слобожанської селищної ради від 16.09.2021 року № 637-VІІІ «Про затвердження нового персонального складу виконавчого комітету Слобожанської селищної ради».
Рішення сесії №2020 Про надання згоди на передачу матеріальних цінностей.
Рішення сесії №2021 Про прийняття у комунальну власність Слобожанської селищної територіальної громади квартири 16, розташованої в будинку 32 по вулиці Сергія Закори в смт. Слобожанське Чугуївського району Харківської області відумерлої спадщини.
Рішення сесії №2022 Про прийняття у комунальну власність Слобожанської селищної територіальної громади квартири 142, розташованої в будинку 6 по вулиці Спортивна в смт. Слобожанське Чугуївського району Харківської області відумерлої спадщини.
Рішення сесії №2023 Про передачу комп’ютерної техніки.
Рішення сесії №2024 Про розгляд заяв Олега ГІРМАНА.
Рішення сесії №2025 Про втрату чинності рішення від 03.02.2011 № 94-VI.
Рішення сесії №2026 Про визначення одержувача бюджетних коштів.
Рішення сесії №2027 Про схвалення проєктів договорів про співробітництво територіальних громад Слобожанської селищної ради та Зміївської міської ради.
Рішення сесії №2028 Про передачу земельної ділянки у приватну власність гр. КАСЬЯН Аліні Євгенівні.
Рішення сесії №2029 Про передачу земельної ділянки у приватну власність гр. СЕВЕРІНУ Миколі Сергійовичу.
Рішення сесії №2030 Про передачу земельної ділянки у приватну власність гр. МИРНОМУ Павлу Володимировичу.
Рішення сесії №2031 Про передачу земельної ділянки у приватну власність гр. КОЖУШНІЙ Лілії Миколаївні.
Рішення сесії №2032 Про передачу земельної ділянки у приватну власність гр. НЕСТЕРЕНКО Аллі Анатоліївні.
Рішення сесії №2033 Про передачу земельної ділянки у приватну власність гр. РИЖКОВУ Василю Григоровичу.
Рішення сесії №2034 Про передачу земельної ділянки у приватну власність гр. ЛУБ’ЯНИЦЬКОМУ Миколі Івановичу.
Рішення сесії №2035 Про передачу земельної ділянки у приватну власність гр. ЧУБ Тетяні Сергіївні.
Рішення сесії №2036 Про розгляд заяви гр. ІЛ’ЇНОЇ Надії Анатоліївни.
Рішення сесії №2037 Про розгляд заяви гр. КАСЬЯНА Олександра Івановича.
Рішення сесії №2038 Про затвердження технічних документацій із землеустрою щодо інвентаризації земель під закладами освіти.
Рішення сесії №2039 Про надання дозволу на поділ земельної ділянки за кадастровим номером 6321784500:02:000:2945.
Рішення сесії №2040 Про затвердження Переліку земельних ділянок, право оренди на які підлягає продажу на земельних торгах у формі аукціону окремими лотами у 2024 році.
Рішення сесії №2041 Про Звіт Слобожанського селищного голови Дмитра ДІХТЯРА за 2023 рік.






















