
від "16" листопада 2023 року
Рішення сесії №1852 Про затвердження порядку денного ХLІV сесії Слобожанської селищної ради VІIІ скликання.
Рішення сесії №1853 Про визначення повноважень депутата Слобожанської селищної ради VІІІ скликання.
Рішення сесії №1854 Про внесення змін до рішення І сесії Слобожанської селищної ради VІІI скликання від 01.12.2020 року №6 - VІІI «Про затвердження складу постійних депутатських комісій селищної ради та голів цих комісій».
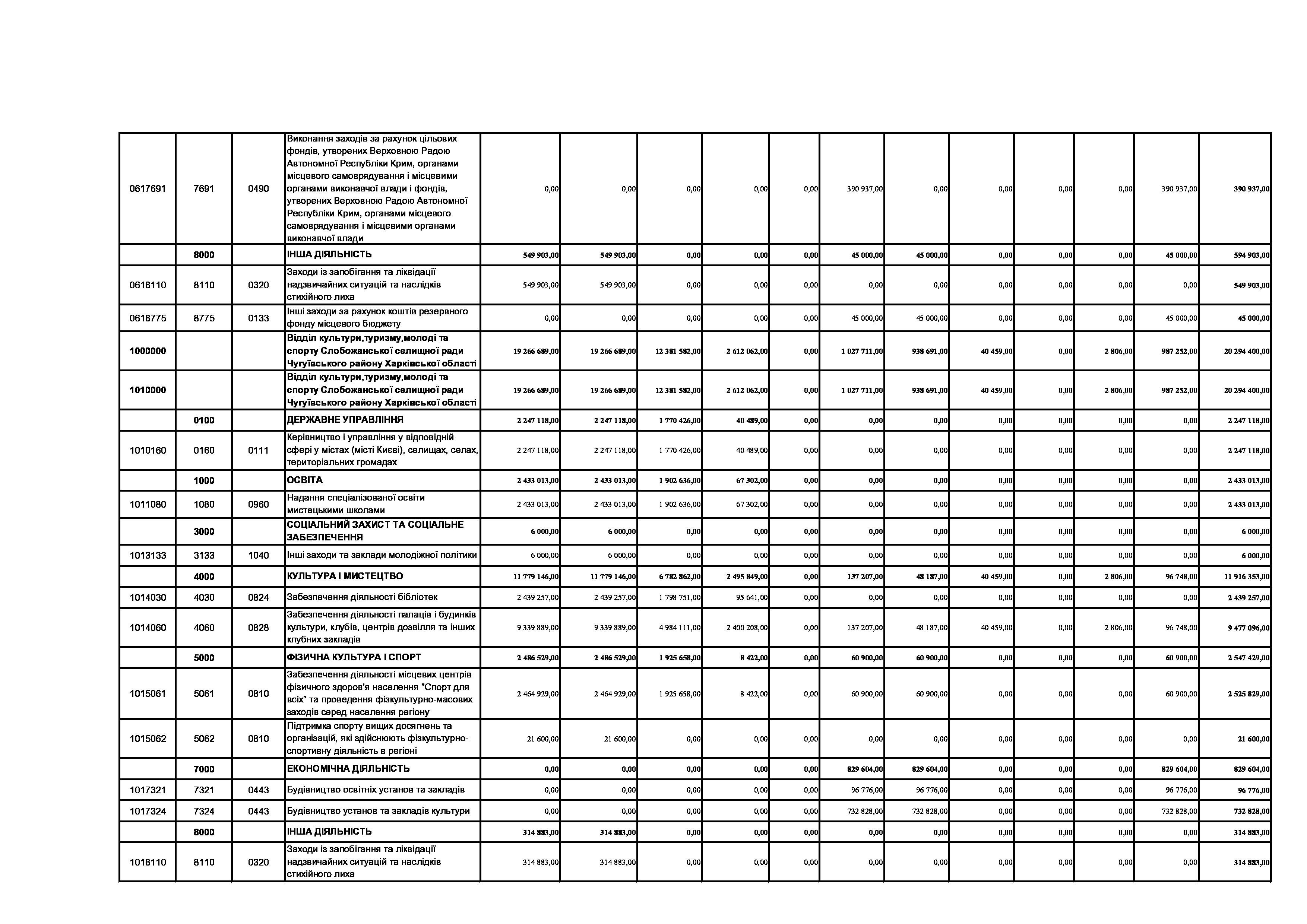
Рішення сесії №1855 Про внесення змін до рішення ХХХ сесії VIІI скликання Слобожанської селищної ради від 23 грудня 2022 року №1392-VIІI «Про бюджет Слобожанської селищної територіальної громади на 2023 рік».
Рішення сесії №1856 Про внесення змін до Заходів на 2023 рік до Програми земельних відносин, раціонального використання та охорони земель по Слобожанській селищній раді на 2021-2025 роки.
Рішення сесії №1857 Про внесення змін до місцевої цільової Програми розвитку цивільного захисту Слобожанської селищної ради на 2021-2025 роки.
Рішення сесії №1858 Про внесення змін до Заходів на 2023 рік до Програми забезпечення тимчасового розміщення та організації харчування внутрішньо переміщених осіб та/або евакуйованих осіб, які перемістилися на територію Слобожанської селищної територіальної громади після 24.02.2022 р., в закладах освіти Слобожанської селищної ради Чугуївського району Харківської області на 2022 – 2023 роки.
Рішення сесії №1859 Про внесення змін та доповнень до Заходів на 2023 рік до програми соціального захисту населення Слобожанської селищної ради на 2021-2025 роки.
Рішення сесії №1860 Про внесення змін та доповнень до Заходів на 2023 рік до Програми енергозбереження та благоустрою територій населених пунктів Слобожанської селищної ради на 2021-2025 роки.
Рішення сесії №1861 Про внесення змін та доповнень до Заходів на 2023 рік до Програми природоохоронних заходів Слобожанської селищної ради на 2021-2025 роки.
Рішення сесії №1862 Про внесення змін та доповнень до Заходів на 2023 рік до Програми розвитку і реформування житлово-комунального господарства Слобожанської селищної ради на 2021-2025 роки.
Рішення сесії №1863 Про внесення змін до додатку рішення ХХХІІ сесії Слобожанської селищної ради від 21.02.2023 № 1481- VІІІ «Про створення постійно діючої комісії для розгляду питань щодо відключення споживачів від мереж (систем) централізованого опалення (теплопостачання) та постачання гарячої води».
Рішення сесії №1864 Про внесення змін та доповнень до Порядку надання одноразової адресної грошової допомоги громадян Слобожанської селищної ради.
Рішення сесії №1865 Про затвердження Програми місцевих стимулів для медичних працівників закладів охорони здоров’я Слобожанської селищної ради на 2023-2025 роки.
Рішення сесії №1866 Про затвердження Положення про преміювання комунальної установи «Місцева пожежна охорона Слобожанської селищної ради Чугуївського району Харківської області».
Рішення сесії №1867 Про граничні суми витрат на придбання автомобілів, меблів, іншого обладнання та устаткування, мобільних телефонів, комп’ютерів установами та організаціями, які утримуються за рахунок бюджету Слобожанської селищної територіальної громади.
Рішення сесії №1868 Про передачу комунального майна.
Рішення сесії №1869 Про прийняття у комунальну власність Слобожанської селищної територіальної громади транспортних засобів.
Рішення сесії №1870 Про зміну суб’єкта, що здійснює право оперативного управління майном комунальної власності Слобожанської селищної територіальної громади.
Рішення сесії №1871 Про включення до Переліку другого типу об’єктів комунальної власності Слобожанської селищної територіальної громади, частину нежитлового приміщення , що розташоване за адресою: с. Лиман, площа Покровська, 5.
Рішення сесії №1872 Про затвердження положення про структурний підрозділ апарату Слобожанської селищної ради.
Рішення сесії №1873 Про внесення змін до структури та загальної чисельності виконавчих органів Слобожанської селищної ради.
Рішення сесії №1874 Про затвердження плану діяльності з підготовки проєктів регуляторних актів Слобожанської селищної ради на 2024 рік.
Рішення сесії №1875 Про надання згоди на організацію співробітництва територіальних громад Слобожанської селищної ради та Зміївської районної ради.
Рішення сесії №1876 Про продовження строкового трудового договору (контракту) з Павловою Валентиною Володимирівною на посаді директора Комунального закладу «Геніївська ЗОШ І-ІІ ст.» Слобожанської селищної ради Чугуївського району Харківської області.
Рішення сесії №1877 Про продовження строкового трудового договору (контракту) з Кріль Наталією Вікторівною на посаді директора Комунального закладу «Шебелинська ЗОШ І-ІІІ ст.» Слобожанської селищної ради Чугуївського району Харківської області.
Рішення сесії №1878 Про передачу земельної ділянки у приватну власність гр. Ждановій Тетяні Вікторівні.
Рішення сесії №1879 Про передачу земельної ділянки у приватну власність гр. Чубу Володимиру Миколайовичу.
Рішення сесії №1880 Про передачу земельної ділянки у приватну власність гр. Павленко Вірі Миколаївні.
Рішення сесії №1881 Про передачу земельної ділянки у приватну власність гр. Кравченко Наталії Вікторівні та гр. Зуй Тетяні Вікторівні.
Рішення сесії №1882 Про передачу земельної ділянки у приватну власність гр. Кравченко Наталії Олександрівні.
Рішення сесії №1883 Про передачу земельної ділянки у приватну власність гр. Грішаєвій Ірині Олександрівні.
Рішення сесії №1884 Про передачу земельної ділянки у приватну власність гр. Довбію Андрію Якимовичу.
Рішення сесії №1885 Про передачу земельної ділянки у приватну власність гр. Шмулич Ользі Іванівні.
Рішення сесії №1886 Про передачу земельної ділянки у приватну власність гр. Михалку Володимиру Степановичу.
Рішення сесії №1887 Про передачу земельної ділянки у приватну власність гр. Жидковій Катерині Степанівні.
Рішення сесії №1888 Про передачу земельної ділянки у приватну власність гр. Бабаку Сергію Миколайовичу.
Рішення сесії №1889 Про передачу земельної ділянки у приватну власність гр. Бабак Ганні Омелянівні.
Рішення сесії №1890 Про передачу земельної ділянки у приватну власність гр. Срібному Анатолію Олексійовичу.
Рішення сесії №1891 Про розгляд заяви гр. Вінниченка Олександра Володимировича.
Рішення сесії №1892 Про затвердження технічної документації з нормативної грошової оцінки земельної ділянки за кадастровим номером 6321783004:01:002:0194.
Рішення сесії №1893 Про затвердження технічної документації з нормативної грошової оцінки земельної ділянки за кадастровим номером 6321755600:02:004:0114.
Рішення сесії №1894 Про затвердження технічної документації з нормативної грошової оцінки земельної ділянки за кадастровим номером 6321755600:02:004:0115.
Рішення сесії №1895 Про затвердження технічної документації з нормативної грошової оцінки земельної ділянки за кадастровим номером 6321782700:01:000:1229.
Рішення сесії №1896 Про укладення договору оренди земельної ділянки за кадастровим номером 6321782700:01:000:1229.
Рішення сесії №1897 Про укладення договору оренди земельної ділянки за кадастровим номером 6321755600:01:003:0044 на новий строк.
Рішення сесії №1898 Про інвентаризацію земель комунальної власності під закладом освіти в с.Шелудьківка, вул. Горького, 67-г.
Рішення сесії №1899 Про розробку проекту землеустрою зі зміною цільового призначення земельної ділянки за кадастровим номером 6321755600:01:005:0113.
Рішення сесії №1900 Про погодження ТОВ «СКАЙГРУП» будівництва волоконно-оптичної лінії зв’язку.
Рішення сесії №1901 Про розгляд заяви уповноваженої особи СФГ Руденко.
Рішення сесії №1902 Про розгляд заяви ФОП Кравича Олексія Володимировича.
Рішення сесії №1903 Про дострокове припинення повноважень депутата Слобожанської селищної ради VІІІ скликання Миндаря С.І.
Рішення сесії №1904 Про передачу комунального майна Відділу культури, туризму, молоді та спорту Слобожанської селищної ради.
Рішення сесії №1905 Про передачу комунального майна Відділу освіти Слобожанської селищної ради.
Рішення сесії №1906 Про зміну найменування та затвердження в новій редакції статуту закладу освіти Слобожанської селищної ради Чугуївського району Харківської області.
Рішення сесії №1907 Про зміну найменування та затвердження в новій редакції статуту закладу освіти Слобожанської селищної ради Чугуївського району Харківської області.
Рішення сесії №1908 Про зміну найменування та затвердження в новій редакції статуту закладу освіти Слобожанської селищної ради Чугуївського району Харківської області.
Рішення сесії №1909 Про перейменування вулиць, провулків на території Слобожанської селищної територіальної громади.
Рішення сесії №1910 Про внесення змін та доповнень до Заходів на 2023 рік до Програми фінансової підтримки комунальних підприємств Слобожанської селищної ради на 2021-2025 роки.





















