
від "03" квітня 2026 року
Текст рішення №3586 Про затвердження порядку денного LХХХV сесії Слобожанської міської ради VІIІ скликання
Текст рішення №3587 Про внесення змін до рішення LXXIX сесії Слобожанської міської ради VIII скликання від 25 грудня 2025 року №3344-VIII «Про бюджет Слобожанської міської територіальної громади на 2026 рік»
Супровідна записка до рішення сесії № 3587 - VIII скликання
Додаток 1 до рішення сесії № 3587 - VIII скликання
Додаток 2 до рішення сесії № 3587 - VIII скликання
Додаток 3 до рішення сесії № 3587 - VIII скликання
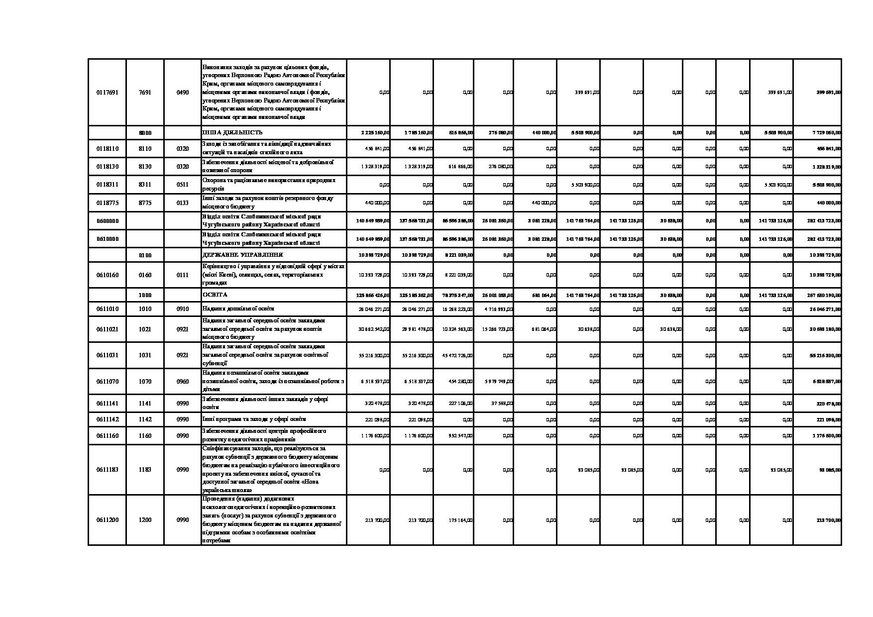
Додаток 5 до рішення сесії № 3587 - VIII скликання
Додаток 6 до рішення сесії № 3587 - VIII скликання
Додаток 7 до рішення сесії № 3587 - VIII скликання
Текст рішення №3588 Про внесення змін до Заходів на 2026 рік до місцевої цільової Програми розвитку цивільного захисту на території Слобожанської міської територіальної громади Чугуївського району Харківської області на 2026-2030 роки
Додаток 1 до рішення сесії № 3588 - VIII скликання
Текст рішення №3589 Про внесення змін до Заходів на 2026 рік до Програми розвитку освітянської галузі Слобожанської міської територіальної громади Чугуївського району Харківської області на 2026-2030 роки
Текст рішення №3590 Про внесення змін в Заходи на 2026 рік до Програми соціально – економічного розвитку Слобожанської міської територіальної громади Чугуївського району Харківської області на 2024 – 2027 роки
Текст рішення №3591 Про внесення змін та доповнень до Програми соціального захисту населення Слобожанської міської територіальної громади Чугуївського району Харківської області на 2026 - 2030 роки
Текст рішення №3592 Про прийняття в комунальну власність Слобожанської міської територіальної громади майна, отриманого в рамках проєкту міжнародної технічної допомоги «Polaris «Підтримка багаторівневого врядування в Україні»
Текст рішення №3593 Про прийняття в комунальну власність Слобожанської міської територіальної громади майна, отриманого в рамках проєкту міжнародної технічної допомоги «Фонд «Партнерство за сильну Україну», Фаза 2»
Текст рішення №3594 Про зміну замовника будівництва об’єкта «Реконструкція водопроводу від свердловини до приватного сектору та по вул. Олімпійська, Миру, Садова, Маяковського, Вишнева, Дружби, Гагаріна, Ювілейна в с. Донець Зміївського району Харківської області. Коригування»
Текст рішення №3595 Про внесення змін до рішення LXXXII сесії Слобожанської міської ради VIIІ скликання «Про повернення Комунальним підприємством «Донець» майна Слобожанської міської територіальної громади на баланс Слобожанської міської ради» від 19.02.2026 року №3518- VIIІ