
від "30" вересня 2022 року
Рішення сесії №1299-VIII Про затвердження порядку денного ХХVІ сесії Слобожанської селищної ради VІIІ скликання.
Рішення сесії №1300-VIII Про внесення змін до рішення ХХІ сесії VIІI скликання Слобожанської селищної ради від 23 грудня 2021 року №987-VIІI «Про бюджет Слобожанської селищної територіальної громади на 2022 рік».
Рішення сесії №1301-VIII Про внесення змін до Заходів на 2022 рік до Програми соціального захисту населення Слобожанської селищної ради на 2021 -2025 роки.
Рішення сесії №1302-VIII Про внесення змін до Заходів на 2022 рік до Програми з оздоровлення та відпочинку дітей Слобожанської селищної ради на 2022 -2025 роки.
Рішення сесії №1303-VIII Про внесення змін та доповнень до Заходів на 2022 рік до Програми розвитку і реформування житлово-комунального господарства Слобожанської селищної ради на 2021-2025 роки.
Рішення сесії №1304-VIII Про внесення змін до Заходів на 2022 рік до Програми енергозбереження та благоустрою територій населених пунктів Слобожанської селищної ради на 2021-2025 роки.
Рішення сесії №1305-VIII Про внесення змін до Заходів на 2022 рік до комплексної Програми розвитку освітянської галузі Слобожанської селищної ради на 2021-2025 роки.
Рішення сесії №1306-VIII Про внесення змін до Заходів на 2022 рік до Слобожанської селищної програми «Шкільний автобус» на 2021-2025 роки.
Рішення сесії №1307-VIII Про внесення змін до Програми створення та використання місцевого матеріального резерву для запобігання і ліквідації наслідків надзвичайних ситуацій на території Слобожанської селищної ради на 2021 – 2023 роки.
Рішення сесії №1308-VIII Про внесення змін до місцевої цільової Програми розвитку цивільного захисту Слобожанської селищної ради на 2021 – 2025 роки.
Рішення сесії №1309-VIII Про внесення змін до Порядку передачі на території Слобожанської селищної ради гуманітарної допомоги, наданої донорами, в умовах воєнного стану в Україні.
Рішення сесії №1310-VIII Про затвердження Програми часткового відшкодування витрат громадянам, які відновили пошкоджені внаслідок російської військової агресії вікна у житлових приміщеннях.
Рішення сесії №1311-VIII Про затвердження Програми сприяння проведення мобілізаційних заходів на території Слобожанської селищної ради Чугуївського району Харківської області на 2022 рік.
Рішення сесії №1312-VIII Про затвердження Порядку формування та затвердження списків присяжних Зміївського районного суду Харківської області.
Рішення сесії №1313-VIII Про затвердження Порядку здійснення контролю за використанням майна, Слобожанської селищної територіальної громади Чугуївського району Харківської області, переданого в оренду.
Рішення сесії №1314-VIII Про надання згоди на дострокове припинення (розірвання) Договору оренди від 12.11.2019р., укладеного з ФОП Шишка В.М.
Рішення сесії №1315-VIII Про надання згоди на дострокове припинення (розірвання) Договору оренди від 02.08.2011р., укладеного з ФОП Шишка В.М.
Рішення сесії №1316-VIII Про затвердження штатного розпису комунального підприємства «Донець» з 01 жовтня 2022 року.
Рішення сесії №1317-VIII Про затвердження штатного розпису комунального підприємства «Комунальник» з 01 жовтня 2022 року.
Рішення сесії №1318-VIII Про передачу комунального майна Відділу культури, туризму, молоді та спорту Слобожанської селищної ради.
Рішення сесії №1319-VIII Про передачу комунального майна Відділу освіти Слобожанської селищної ради.
Рішення сесії №1320-VIII Про передачу комунального майна.
Рішення сесії №1321-VIII Про визначення переліку та обсягів закупівель товарів, робіт і послуг, що необхідно здійснити для забезпечення потреб.
Рішення сесії №1322-VIII Про визначення переліку та обсягів закупівель товарів, робіт і послуг, що необхідно здійснити для забезпечення потреб відділу освіти Слобожанської селищної ради.
Рішення сесії №1323-VIII Про визначення переліку та обсягів закупівель товарів, робіт і послуг, що необхідно здійснити для забезпечення потреб Слобожанського комунального закладу дошкільної освіти (ясла садок) №3.
Рішення сесії №1324-VIII Про продовження терміну дії Контракту з директором Комунального закладу «Центр фізичного здоров’я населення «Спорт для всіх» Слобожанської селищної ради Чугуївського району Харківської області.
Рішення сесії №1325-VIII Про виключення з базової мережі закладів культури Слобожанської селищної ради Мохначанського сільського клубу та Мохначанської сільської бібліотеки.
Рішення сесії №1326-VIII Про затвердження Переліку закладів, що включені до базової мережі закладів культури Слобожанської селищної ради.
Рішення сесії №1327-VIII Про розгляд заяви Колодко С.В.
Рішення сесії №1328-VIII Про розгляд заяви гр. Хрень К.М.
Рішення сесії №1329-VIII Про розгляд заяви гр. Лаврик В.О.
Рішення сесії №1330-VIII Про відмову у наданні дозволу на розробку проекту землеустрою щодо відведення земельної ділянки у власність.
Рішення сесії №1331-VIII Про відмову у затвердженні землевпорядної документації щодо відведення земельної ділянки у власність.
Рішення сесії №1332-VIII Про затвердження проекту землеустрою, щодо зміни цільового призначення земельної ділянки гр. Першина К.В.
Рішення сесії №1333-VIII Про внесення змін до рішення ХІХ сесії Слобожанської селищної ради VIIІ скликання №853-VIIІ від 25.11.2021 року.
Рішення сесії №1334-VIII Про внесення змін до рішення ХІХ сесії Слобожанської селищної ради VIIІ скликання №854-VIIІ від 25.11.2021 року.
Рішення сесії №1335-VIII Про внесення змін до рішення ХІХ сесії Слобожанської селищної ради VIIІ скликання №855-VIIІ від 25.11.2021 року.
Рішення сесії №1336-VIII Про внесення змін до рішення ХІХ сесії Слобожанської селищної ради VIIІ скликання №856-VIIІ від 25.11.2021 року.
Рішення сесії №1337-VIII Про внесення змін до рішення ХІХ сесії Слобожанської селищної ради VIIІ скликання №857-VIIІ від 25.11.2021 року.
Рішення сесії №1338-VIII Про укладення договору оренди земельної ділянки за кадастровим номером 6321755600:01:003:0023 на новий строк.
Рішення сесії №1339-VIII Про укладення договору оренди земельної ділянки за кадастровим номером 6321755600:01:005:0009 на новий строк.
Рішення сесії №1340-VIII Про відмову у продажу земельної ділянки за кадастровим номером 6321784500:01:000:0444.
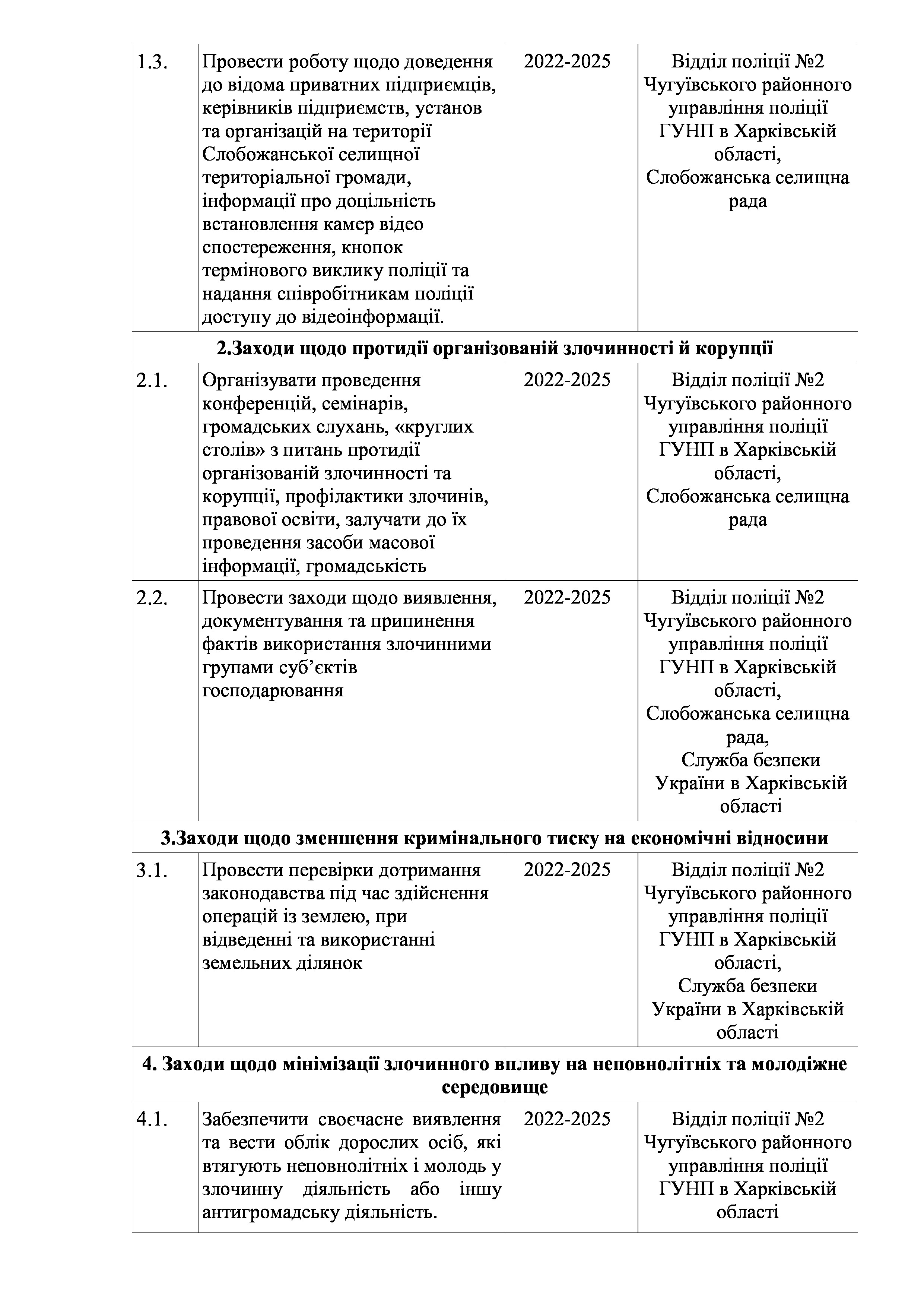
Рішення сесії №1341-VIII Про затвердження Комплексної Програми профілактики правопорушень, злочинності та сприяння діяльності правоохоронних органів на території Слобожанської селищної територіальної громади на 2022-2025 роки.






















