
Питання порядку денного
на засідання виконавчого комітету Слобожанської міської ради
09 жовтня 2025 року
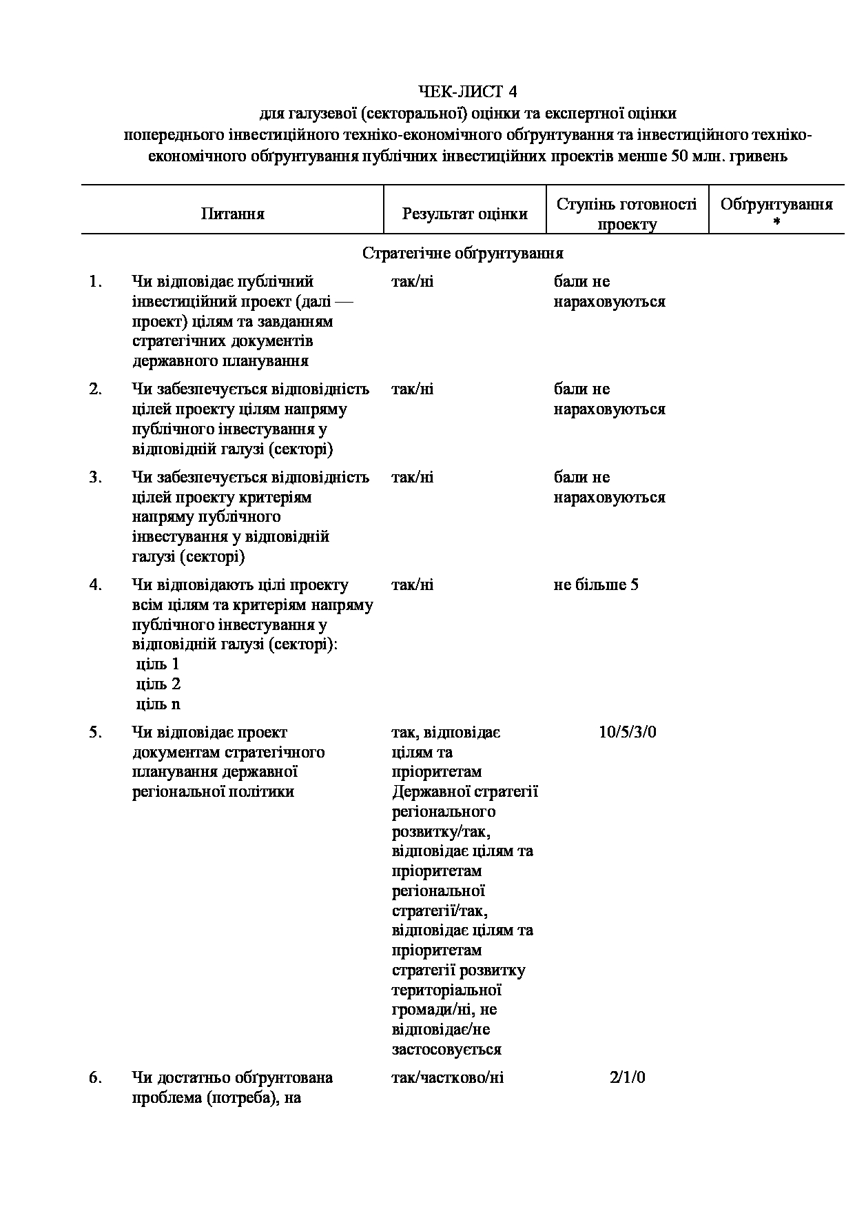
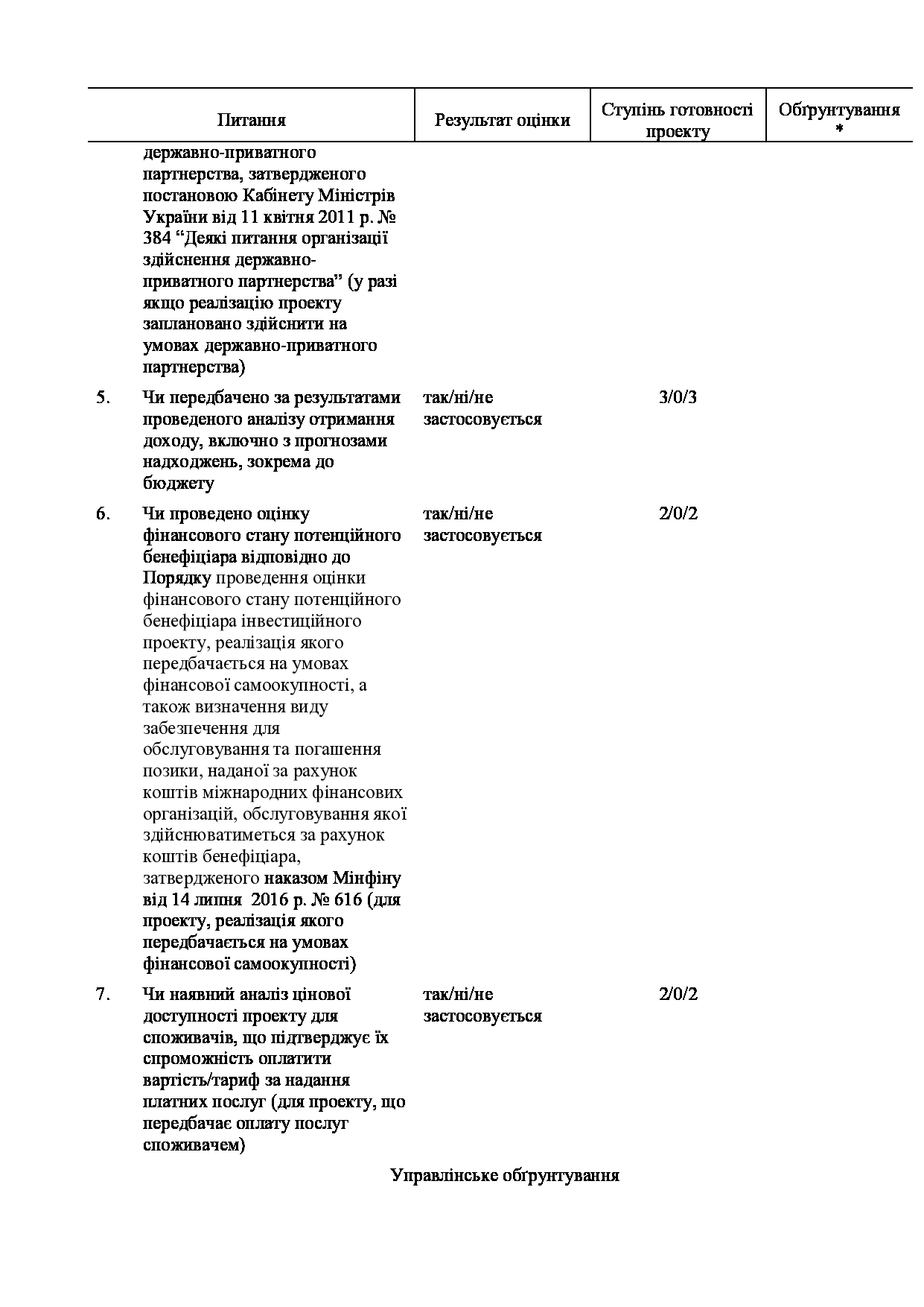
Рішення виконавчого комітету №664 Про розподіл публічних інвестицій Слобожанської територіальної громади Чугуївського району Харківської області.
Рішення виконавчого комітету №664
Рішення виконавчого комітету №665
Рішення виконавчого комітету №666
Рішення виконавчого комітету №667 Про внесення змін до рішення виконавчого комітету від 23.01.2025 року № 58 «Про створення постійно діючої комісії щодо спільного відпрацювання питань повноти, достовірності та своєчасності надходжень місцевих податків і зборів до бюджету Слобожанської селищної територіальної громади, затвердження її складу та Положення».
Рішення виконавчого комітету №667
 
											



















 
         
						

