
від "15" червня 2023 року
Рішення сесії №1619-VIII Про затвердження порядку денного ХХХVІII сесії Слобожанської селищної ради VІIІ скликання.
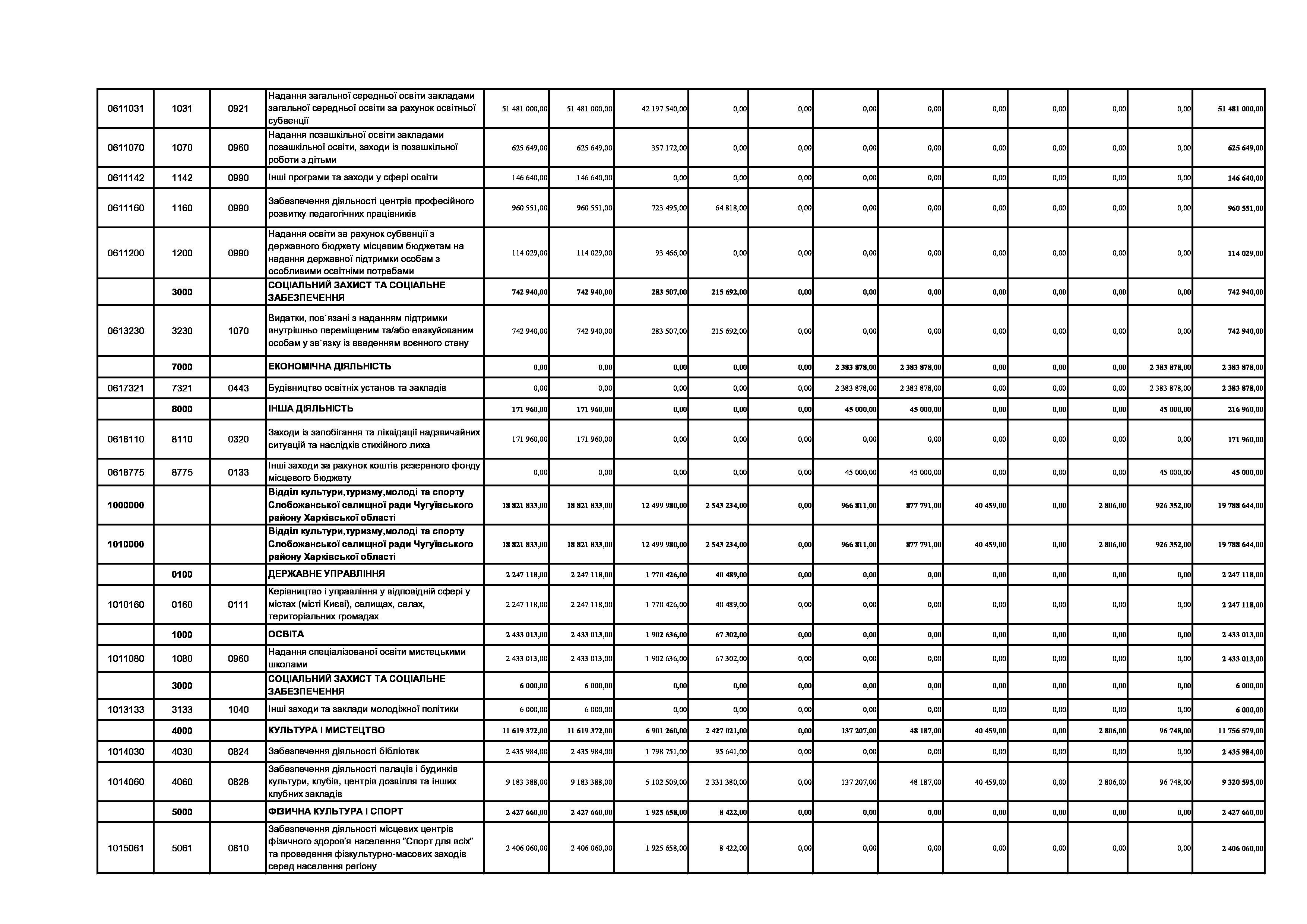
Рішення сесії №1620-VIII Про внесення змін до рішення ХХХ сесії VIІI скликання Слобожанської селищної ради від 23 грудня 2022 року №1392-VIІI «Про бюджет Слобожанської селищної територіальної громади на 2023 рік».
Рішення сесії №1621-VIII Про внесення змін та доповнень до Заходів на 2023 рік до Програми розвитку охорони здоров’я на території Слобожанської селищної ради на 2021 - 2025 роки.
Рішення сесії №1622-VIII Про внесення змін до місцевої цільової Програми розвитку цивільного захисту Слобожанської селищної ради на 2021-2025 роки.
Рішення сесії №1623-VIII Про внесення змін та доповнень до Заходів на 2023 рік до Програми енергозбереження та благоустрою територій населених пунктів Слобожанської селищної ради на 2021-2025 роки.
Рішення сесії №1624-VIII Про внесення змін та доповнень до Заходів на 2023 рік до Програми фінансової підтримки об’єднань співвласників багатоквартирних будинків, житлових товариств та житлово-будівельних кооперативів на 2021-2025 роки.
Рішення сесії №1625-VIII Про внесення змін та доповнень до Заходів на 2023 рік до Програми фінансової підтримки комунальних підприємств Слобожанської селищної ради на 2021-2025 роки.
Рішення сесії №1626-VIII Про внесення змін та доповнень до Заходів на 2023 рік до Програми розвитку і реформування житлово-комунального господарства Слобожанської селищної ради на 2021-2025 роки.
Рішення сесії №1627-VIII Про внесення змін до Заходів на 2023 рік до Програми забезпечення тимчасового розміщення та організації харчування внутрішньо переміщених осіб та/або евакуйованих осіб, які перемістилися на територію Слобожанської селищної територіальної громади після 24.02.2022 р., в закладах освіти Слобожанської селищної ради Чугуївського району Харківської області на 2022 – 2023 роки.
Рішення сесії №1628-VIII Про прийняття у комунальну власність Слобожанської територіальної громади ноутбуків із спільної власності територіальних громад сіл, селищ, міст Харківської області та створення комісії по прийманню-передачі із спільної власності територіальних громад сіл, селищ, міст Харківської області у комунальну власність Слобожанської територіальної громади ноутбуків.
Рішення сесії №1629-VIII Про передачу комунального майна КУ «Центр надання соціальних послуг».
Рішення сесії №1630-VIII Про передачу комунального майна відділу освіти Слобожанської селищної ради.
Рішення сесії №1631-VIII Про передачу комунального майна КП КЗ «Слобожанський селищний Палац культури».
Рішення сесії №1632-VIII Про надання згоди на списання майна комунальної власності Слобожанської селищної територіальної громади.
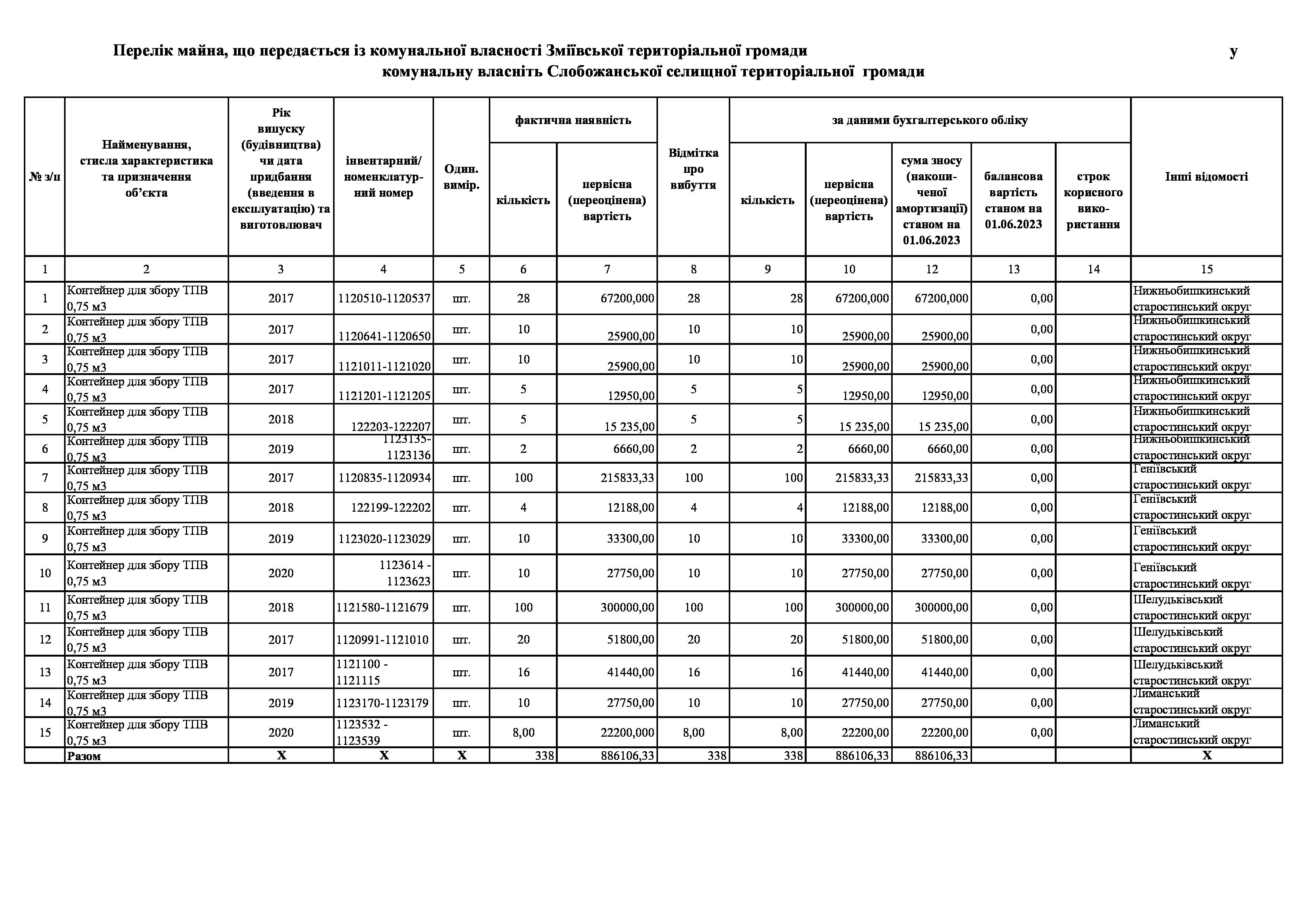
Рішення сесії №1633-VIII Про надання згоди на прийняття та прийняття з комунальної власності Зміївської територіальної громади у комунальну власність Слобожанської селищної територіальної громади індивідуально визначеного майна.
Рішення сесії №1634-VIII Про співпрацю з АТ «Укргазвидобування» в частині реалізації спільного проєкту «Капітальний ремонт будівлі початкової школи в с. Скрипаї Слобожанської селищної територіальної громади».
Рішення сесії №1635-VIII Про надання згоди на ініціювання внесення змін до Договору про співробітництво територіальних громад у формі делегування виконання окремих завдань щодо організації медичного обслуговування населення, безпосередньо пов’язаного з наданням первинної медичної допомоги №1 від 23.12.2022 року.
Рішення сесії №1636-VIII Про результати діяльності прокуратури на території Чугуївського району.
Рішення сесії №1637-VIII Про затвердження технічної документації із землеустрою щодо встановлення (відновлення) меж земельної ділянки в натурі (на місцевості) для будівництва і обслуговування житлового будинку, господарських будівель і споруд гр. Баєвій Наталії Володимирівні.
Рішення сесії №1638-VIII Про затвердження технічної документації із землеустрою щодо встановлення (відновлення) меж земельної ділянки в натурі (на місцевості) для будівництва і обслуговування житлового будинку, господарських будівель і споруд гр. Волкову Ігорю Сергійовичу.
Рішення сесії №1639-VIII Про затвердження технічної документації із землеустрою щодо встановлення (відновлення) меж земельної ділянки в натурі (на місцевості) для будівництва і обслуговування житлового будинку, господарських будівель і споруд гр. Сорокіну Миколі Миколайовичу.
Рішення сесії №1640-VIII Про затвердження технічної документації із землеустрою щодо встановлення (відновлення) меж земельної ділянки в натурі (на місцевості) для будівництва і обслуговування житлового будинку, господарських будівель і споруд гр. Оклей Аліні Анатоліївні.
Рішення сесії №1641-VIII Про затвердження технічної документації із землеустрою щодо встановлення (відновлення) меж земельної ділянки в натурі (на місцевості) для будівництва і обслуговування житлового будинку, господарських будівель і споруд гр. Барановському Сергію Олександровичу.
Рішення сесії №1642-VIII Про затвердження технічної документації із землеустрою щодо встановлення (відновлення) меж земельної ділянки в натурі (на місцевості) для будівництва і обслуговування житлового будинку, господарських будівель і споруд гр. Сушко Світлані Анатоліївні.
Рішення сесії №1643-VIII Про затвердження технічної документації із землеустрою щодо встановлення (відновлення) меж земельної ділянки в натурі (на місцевості) для будівництва і обслуговування житлового будинку, господарських будівель і споруд гр. Юсуповій Зої Миколаївні.
Рішення сесії №1644-VIII Про затвердження технічної документації із землеустрою щодо встановлення (відновлення) меж земельної ділянки в натурі (на місцевості) для будівництва і обслуговування житлового будинку, господарських будівель і споруд гр. Кухлєєву Олександру Вікторовичу.
Рішення сесії №1645-VIII Про затвердження технічної документації із землеустрою щодо встановлення (відновлення) меж земельної ділянки в натурі (на місцевості) для будівництва і обслуговування житлового будинку, господарських будівель і споруд гр. Рижому Віталію Степановичу.
Рішення сесії №1646-VIII Про затвердження технічної документації із землеустрою щодо встановлення (відновлення) меж земельної ділянки в натурі (на місцевості) для будівництва і обслуговування житлового будинку, господарських будівель і споруд гр. Пивовар Тетяні Анатоліївні.
Рішення сесії №1647-VIII Про виділення в натурі (на місцевості) земельної частки (паю) гр.Яненко Оксані Вікторівні та гр. Кріт Євгенії Вікторівні.
Рішення сесії №1648-VIII Про внесення змін у рішення XXII сесії VIII скликання Слобожанської селищної ради № 1196-VIII від 03 лютого 2022 року.
Рішення сесії №1649-VIII Про припинення права оренди земельної ділянки за кадастровим номером 6321755600:01:006:0066.
Рішення сесії №1650-VIII Про розробку проекту землеустрою зі зміною цільового призначення земельної ділянки за кадастровим номером 6321782700:01:000:1346.
Рішення сесії №1651-VIII Про розробку проекту землеустрою зі зміною цільового призначення земельної ділянки за кадастровим номером 6321755600:01:006:0066.
Рішення сесії №1652-VIII Про затвердження проекту землеустрою щодо відведення земельних ділянок для розміщення, будівництва, експлуатації та обслуговування будівель і споруд об’єктів передачі електричної енергії .
Рішення сесії №1653-VIII Про затвердження проекту землеустрою щодо відведення земельних ділянок для розміщення, будівництва, експлуатації та обслуговування будівель і споруд об’єктів передачі електричної енергії .
Рішення сесії №1654-VIII Про затвердження проекту землеустрою щодо відведення земельних ділянок для розміщення, будівництва, експлуатації та обслуговування будівель і споруд об’єктів передачі електричної енергії.
Рішення сесії №1655-VIII Про затвердження проекту землеустрою щодо відведення земельних ділянок для розміщення, будівництва, експлуатації та обслуговування будівель і споруд об’єктів передачі електричної енергії.
Рішення сесії №1656-VIII Про затвердження проекту землеустрою щодо відведення земельних ділянок для розміщення, будівництва, експлуатації та обслуговування будівель і споруд об’єктів передачі електричної енергії.
Рішення сесії №1657-VIII Про затвердження проекту землеустрою щодо відведення земельних ділянок для розміщення, будівництва, експлуатації та обслуговування будівель і споруд об’єктів передачі електричної енергії.
Рішення сесії №1658-VIII Про затвердження проекту землеустрою щодо відведення земельних ділянок для розміщення, будівництва, експлуатації та обслуговування будівель і споруд об’єктів передачі електричної енергії.
Рішення сесії №1659-VIII Про внесення змін до договору оренди земельної ділянки за кадастровим номером 6321783001:01:001:0121.
Рішення сесії №1660-VIII Про внесення змін до договору оренди земельної ділянки за кадастровим номером 6321783004:01:002:0214.
Рішення сесії №1661-VIII Про розгляд заяви Передерій Н.П.
Рішення сесії №1662-VIII Про службове відрядження.
Рішення сесії №1663-VIII Про внесення доповнень до Програми розвитку місцевого самоврядування Слобожанської селищної ради на 2021-2025 роки та до Заходів на 2023 рік до цієї програми.
Рішення сесії №1664-VIII Про співпрацю з муніципалітетом Веннес (Швеція).






















